
全球变化下的陆地生物地球化学循环一直是生态学研究的核心内容。近期,云南大学生态与环境学院程晓莉团队围绕土壤磷循环、有机碳积累、微生物资源限制、温室气体排放、碳-水耦合等主题开展多项研究,系列成果发表于《Global Change Biology》、《Global Biogeochemical Cycles》、《Functional Ecology》和《Journal of Forestry Research》等国际主流生态学期刊。该系列成果主要涉及以下三个方面:
(1)造林对土壤碳磷的影响机制
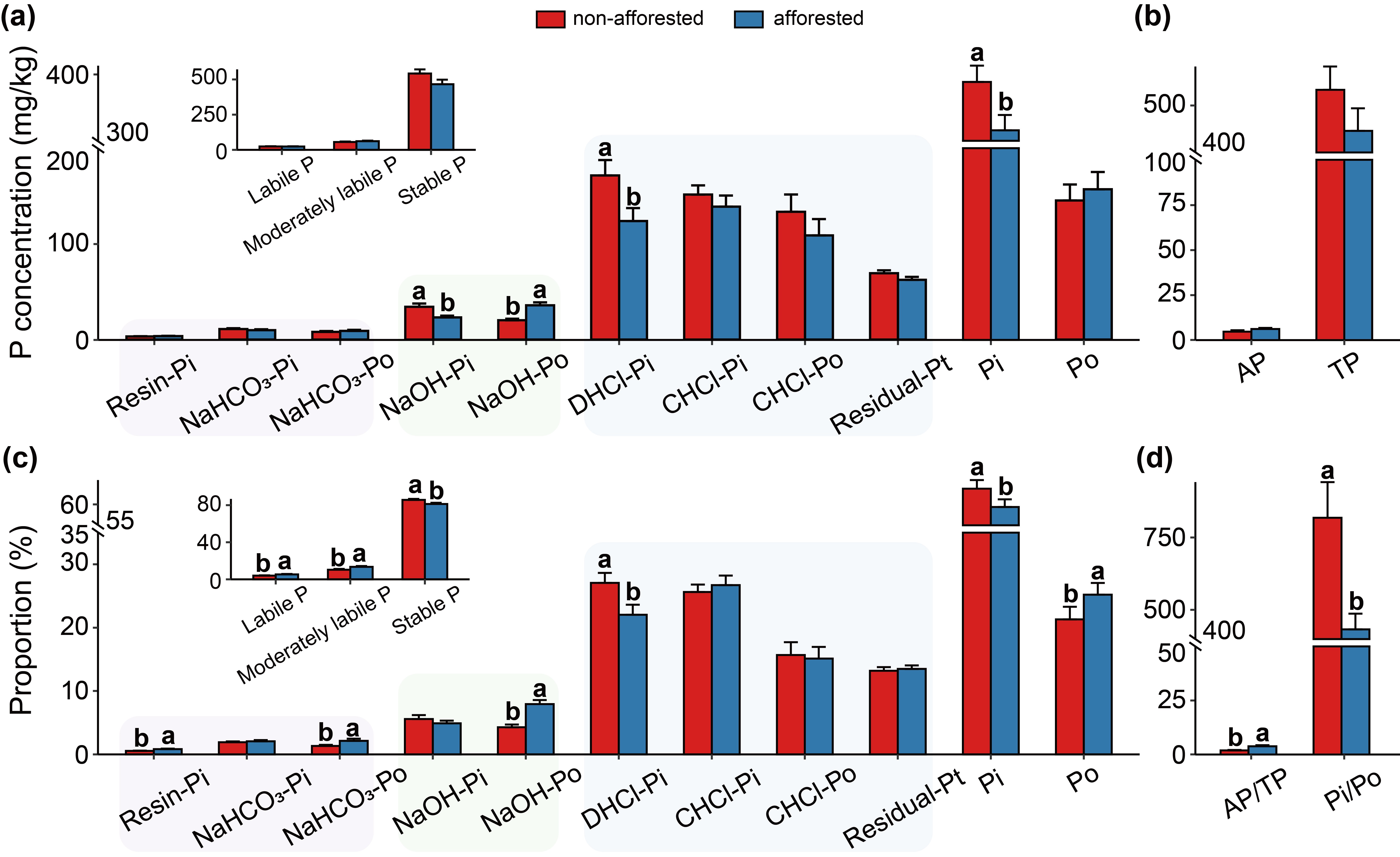
造林是应对气候变化和恢复生态系统功能的重要手段。然而,造林如何改变土壤中不同化学形态和生物有效性的磷组分,如何调控土壤碳的积累,以及这些变化的内在驱动机制,学术界认知仍然不足。基于此,团队在丹江口库区开展了144个配对样点的大规模野外调查,系统比较了林地与未造林地的土壤磷组分和碳动态。结果表明,造林显著提高了土壤有效磷、活性磷和中等活性磷组分的比例,降低了稳定性磷的比例(图1左)。种植阔叶树种(栓皮栎)促进了土壤有机磷积累;而种植针叶树种(马尾松和侧柏)导致了土壤无机磷的消耗。尽管土壤中的无定形铁氧化物在造林前后的土壤中都是磷形态分布的关键控制因素,但在造林后,植物养分(如叶片磷含量)的调控作用变得尤为重要。研究结果以“Redistribution of soil phosphorus fractions alleviates phosphorus limitations following afforestation”发表在Global Change Biology(IF = 12.0)上。研究团队吴明辉讲师、毕业硕士生徐权杰为论文第一作者,程晓莉教授为论文唯一通讯,原文链接https://doi.org/10.1111/gcb.70515
造林显著提升了土壤有机碳、颗粒有机碳(POC)和矿物结合有机碳(MAOC)含量,但MAOC的绝对增量相比POC更高(图1右)。造林改变了土壤碳组分的累积模式,表现为造林抑制了POC的积累速率,却加速了MAOC的积累速率,表明其通过微生物途径将易分解碳转化为稳定碳。造林后POC的关键驱动因素从土壤和微生物特征的共同调控转变为由单一的微生物主控;MAOC的变异在造林前后均主要由微生物特征进行调节,并且造林增大了微生物特征对MAOC变异的贡献率。研究结果以“Soil carbon accumulation under afforestation is driven by contrasting responses of particulate and mineral-associated organic carbon”为题发表在Global Biogeochemical Cycles(IF = 5.5)上。研究团队已出站博士后翟德苹为论文第一作者,程晓莉教授为论文唯一通讯。原文链接:https://doi.org/10.1029/2024GB008116


图1 造林对土壤磷组分和有机碳组分的影响
(2)凋落物调控对土壤酶活性和温室气体释放的驱动机制
凋落物作为连接植物与土壤的关键载体,其输入与分解直接调控养分循环尤其是碳循环过程。然而,目前关于凋落物与根系输入短期变化如何影响微生物资源限制及温室气体排放的系统认知仍较为缺乏。基于此,团队选取玉龙雪山3200 m的两种森林类型(针叶林-云南松,阔叶林-黄背栎)为研究对象,开展了凋落物输入变化(对照、双倍凋落物、去根且双倍凋落物、去凋落物、去根、去根且去凋落物)的相关研究。研究发现,凋落物添加没有显著改变两种森林土壤中的微生物代谢限制。与凋落物去除相比,根系去除显著缓解了微生物相对碳限制,同时加剧了相对磷限制。针叶林土壤微生物相对磷限制较大,阔叶林相对磷限制较低。这些限制受针叶林微生物属性(如微生物量磷)和阔叶林土壤性质(如溶解有机碳)的调节(图2左)。研究结果以“Soil microbial metabolic limitations under subalpine coniferous and broad-leaved forests responding to litter input and removal treatments”为题发表在Functional Ecology(IF = 5.1)上。研究团队门修贤博士为论文第一作者,程晓莉教授为论文唯一通讯。原文链接:https://doi.org/10.1111/1365-2435.70136
与对照相比,凋落物添加促使CO2排放量增加22.22%,对CH₄吸收和N₂O排放无显著影响。凋落物去除使CO₂和N₂O排放量分别降低30.22%和31.16%,而CH₄吸收未发生显著变化。根系去除普遍降低了三种温室气体通量。CO2排放变化主要与β-1,4-葡萄糖苷酶活性(BG)和微生物量相关;CH₄吸收则受土壤微气候与BG酶活性共同调控;而N₂O排放的变化主要与溶解有机氮、微生物量氮及BG酶活性相关(图2右)。值得注意的是,针叶林土壤表现出比阔叶林更强的CH₄吸收能力,但CO2与N₂O排放未受林型的显著影响。凋落物添加显著提高了土壤增温潜势,而去除凋落物则使其相对降低。研究结果以“Litter input manipulations differentially regulated CO2, CH4 and N2O emissions from subalpine coniferous and broad-leaf forest soils”为题发表在Journal of Forestry Research(IF = 4.6)上。研究团队黄宝山硕士、门修贤博士为论文第一作者,程晓莉教授为论文唯一通讯。原文链接:https://doi.org/10.1007/s11676-025-01925-9


图2 凋落物调控对土壤酶活性和土壤温室气体释放的影响
(3)沿海拔梯度下草地碳-水关系受物种更替和气候共同影响
水分利用效率(WUE)是反映植被-气候相互作用及陆地碳-水循环的核心功能。然而,WUE的直接测量主要局限于室内实验、单个植物及瞬时生理反应,忽视了长期气候变化和自然生态系统中物种组成的影响。基于此,团队沿草地海拔梯度(40 - 3800米)进行调查,将其视为研究植物对气候变化的生理响应和物种适应的露天实验室,并收集了植物、气候和土壤数据集,以探究草地内在水分利用效率(iWUE)的空间分布及其潜在驱动因素。研究发现,随海拔升高,C3和C4草本植物的iWUE分别呈现上升和下降趋势。这些iWUE模式主要受微气候(例如温度、蒸汽压差)、物种更替和植物化学计量学的影响,而非物种丰富度(图3)。该研究结果拓展了传统WUE研究中以气候为中心的主流范式,强调了物种更替和营养分配策略在环境变化中的关键作用。研究揭示了物种组成与气候的综合相互作用能够较好预测WUE的变化,从而为深入理解未来气候变化下的碳-水循环提供了实证证据。研究结果以“Species turnover and climates co-dominate the carbon-water relationship in grasslands along an elevational gradient”为题发表在Functional Ecology(IF = 5.1)上。研究团队已出站博士后柏建坤为论文第一作者,程晓莉教授为论文唯一通讯。原文链接:https://doi.org/10.1111/1365-2435.70098

图3 海拔梯度下的草地碳-水关系受物种更替和气候联合驱动
相关文献:
Minghui Wu#, Quanjie Xu#, Jiao Feng, Xueyu Wang, Deping Zhai, Xiaoli Cheng*. Redistribution of soil phosphorus fractions alleviates phosphorus limitations following afforestation. Global Change Biology, 2025, 31: e70515.
Deping Zhai, Yiyue Wang, Chang Liao, Xiuxian Men, Chi Wang, Xiaoli Cheng*. Soil carbon accumulation under afforestation is driven by contrasting responses of particulate and mineral‐associated organic carbon. Global Biogeochemical Cycles, 2024, 38: e2024GB008116.
Xiuxian Men, Yong Bao, Deping Zhai, Baoshan Huang, Xin Quan, Xiya He, Hongyan Yang, Xiaoli Cheng*. Soil microbial metabolic limitations under subalpine coniferous and broad- leaved forests responding to litter input and removal treatments. Functional Ecology, 2025.
Baoshan Huang#, Xiuxian Men#, Yong Bao, Deping Zhai, Xiaoli Cheng*. Litter input manipulations differentially regulated CO2, CH4 and N2O emissions from subalpine coniferous and broad‑leaf forest soils. Journal of Forestry Research, 2025, 36: 129.
Jiankun Bai, Matthew A. Sturchio, Yiqi Luo, Guanghui Lin, Xiaoli Cheng*. Species turnover and climates co‐dominate the carbon-water relationship in grasslands along an elevational gradient. Functional Ecology, 2025, 39: 2123-2134.